早期關於費米子傳播子的全息研究[28]產生了許多引人入勝的結果,包括多重費米面(在某些極端情況下合併為一個臨界「費米球」)、無色散極點,以及振盪頻率依賴性(後來被證明在更系統性的「自上而下」構建[26]中不會出現)等。這些結果的物理解釋受到阻礙,因為大部分工作都是數值計算。
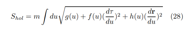
\ 在 mL ≫ 1 的區域中可以進行簡單且適合解析處理的半經典計算,其中 m 是推測的對偶體積費米子的質量[28, 29]。在這個區域中,費米子路徑對各種量子力學振幅的貢獻緊密遵循從(虛時間)作用量導出的經典邊界到邊界軌跡(測地線)
\ 
\ 通過對 τ(u) 和 r(u) 進行變分。
\ 在其測地線上評估此作用量,可得
\ 
\ 雖然(29)式的顯式解析計算只能在某些特殊情況下進行,但對於各種度量,單參數空間/時間依賴性可以很容易找到。具體來說,對於 HV 度量(26),可得[29, 30]
\ 
\ 值得注意的是,在沒有超尺度違規(θ = 0)的情況下,這兩種漸近行為要麼變為常數(可能性較小),要麼變為對數(可能性較大,見下文)。因此,如果經典 EMD 拉格朗日量(22)要代表具有類規範相互作用(1)的邊界理論的有效體積對偶,則漸近行為(31)將難以與主要依賴於 z(通過 η)而非 θ 的艾康納爾/玻色化結果(11,21)相協調。
\ 
\ 並由兩個獨立解組成,其形式為
\ 
\ 施加適當的邊界條件並遵循全息字典[26],然後將傳播子定義為入射在邊界的波的反射係數
\ 
\ 當 α = β + 1 時,會出現不同的行為(在有限 z 和 θ 的 HV 度量(26)情況下無法實現),此時(33)中的積分在 u → 0 處發散。這種特殊的非費米液體(NFL)區域,被稱為「局部臨界性」,其特徵是傳播子
\ 
\ 其中 a(k)、b(k) 和 ν(k) ∼ k 是動量的非奇異函數,通常可以產生被識別為不同(「分數化」)費米面(FS)[28]的多個極點。
\ 對(36)進行傅立葉變換的複雜性在於 G(ω, k) 在其參數的整個範圍內並不能解析地知道。然而,通過鞍點的快速(和/或猛烈)傅立葉變換表明,這個函數在時空域中的形式如下
\ 
\ 更加引人入勝的是,最近對二維哈伯德和 t − J 模型的蒙特卡羅結果,這些模型長期以來被認為代表銅酸鹽中的原型非費米液體正常態。這些結果並不容易符合動量獨立但能量強依賴的自能函數,顯示出比上述任何表達式更少的能量/溫度依賴性[33]。這對於由相互作用(1)支配的費米子(「自旋子」)理論在分析這些微觀模型中的普遍適用性意味著什麼,仍有待觀察。
\
:::info 作者:
(1) D. V. Khveshchenko,北卡羅來納大學教堂山分校物理與天文學系,NC 27599。
:::
:::info 本論文可在 arxiv 上獲取,採用 CC BY 4.0 DEED 許可證。
:::
\


